Se llevó acabo la elección de Mesa directiva vigencia 2018, siendo elegidos
El teatro Suarez cera el centro de bellas artes de la capital, hoy con un avance del 89.6% y que se proyecta inaugurar en el mes de abril de 2018. La demora se refiere a que el Ministerio de Cultura autorice a la gobernación entregar 1.200 millones por el OCAD, para terminar el Lobby, Sonido, Planta Eléctrica y Bomba de Incendios.
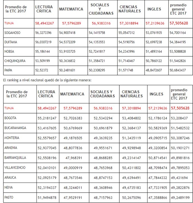
Según reporte de resultados agregados Saber 11º Tunja también ocupa el primer puesto a nivel departamental.
En ceremonia de clausura cumplida en el parque Bolivariano, el presidente dijo que “los samarios cumplieron”, y anunció la creación del Ministerio del Deporte.
La conocida frase "Lo que comienza bien termina bien" no fue excepción en Santa Marta. El brillo y colorido con el que el 11 de noviembre se inauguraron los XVIII Juegos Bolivarianos, no se opacó, ni destiñó en la clausura de anoche en Santa Marta.
Después de la ponencia positiva del Concejal Alejandro Camargo sobre el Proyecto de Acuerdo No. 040 de 2017 “POR MEDIO DEL CUAL SE AUTORIZA AL ALCALDE MUNICIPAL DE TUNJA LA CREACION DE UNA SOCIEDAD PUBLICA CUYO OBJETO ES LA ADMINISTRACIÓN Y OPERACIÓN DEL NUEVO TERMINAL REGIONAL DE TRANSPORTE TERRESTRE DE PASAJEROS DE TUNJA Y SE OTORGAN UNAS AUTORIZACIONES”, la plenaria estuvo muy dedicada a estudiar los nuevos cambios a este proyecto, en el transcurso de los estudios preliminares se recibió al equipo de la Secretaria de Infraestructura y del jurídico de La Gobernación de Boyacá, se visitó la Asamblea de Boyacá y se realizó un acompañamiento del Secretario de gobierno Fabio Martínez.
